Mikrostrip-Patch-Antennenformel
Der Umrechnungsrechner für Microstrip-Patchantennen schätzt die Breite (B) und Länge (L) einer rechteckigen Patchantenne basierend auf den dielektrischen Eigenschaften, der Substrathöhe und der Resonanzfrequenz.
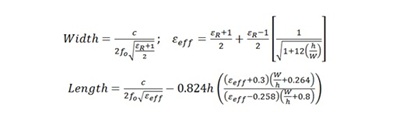
Breite (W): W = (c / (2 × f₀)) × √(2 / (εᵣ + 1))
Effektive Dielektrizitätskonstante: ε_eff = (εᵣ + 1)/2 + ((εᵣ – 1)/2) × (1 + 12(h/W))⁻⁰·⁵
Effektive Länge: L_eff = c / (2 × f₀ × √ε_eff)
Längenausdehnung: ΔL = 0,412 × h × ((ε_eff + 0,3)(B/h + 0,264)) / ((ε_eff – 0,258)(B/h + 0,8))
Tatsächliche Länge: L = L_eff – 2 × ΔL
Formelerklärung
Die Breite W bestimmt die Resonanzfrequenz und die Strahlungseigenschaften der Antenne. Die effektive Dielektrizitätskonstante ε_eff passt sich an Randfelder an den Patchrändern an. L_eff berechnet die elektrische Länge, während ΔL die zusätzliche Länge aufgrund von Farbsäumen berücksichtigt. Schließlich wird die tatsächliche Länge L durch Subtrahieren des Doppelten der Randverlängerung von L_eff abgeleitet.
Verwendung des Konvertierungsrechners für Microstrip-Patchantennen
- Entwerfen von Patchantennen für Wi-Fi, GPS und Satellitenkommunikation.
- Schnelle Schätzung der Antennenabmessungen beim Prototyping von HF-Schaltungen.
- Bildungszwecke zum Verständnis der Mikrostreifenantennentheorie.
- Prüfung und Optimierung von Substratmaterialien und dielektrischen Eigenschaften.
- Beschleunigung der Forschung und Entwicklung im Bereich kompakter Antennendesigns.

Formelbeispiel
Gegeben: εᵣ = 4,4, h = 1,6 mm, f₀ = 2,4 GHz
Schritt 1: Berechnen Sie W = (3×10⁸ / (2 × 2,4×10⁹)) × √(2 / (4,4 + 1)) ≈ 38,9 mm
Schritt 2: Berechnen Sie ε_eff ≈ 4,0
Schritt 3: L_eff = 3×10⁸ / (2 × 2,4×10⁹ × √4,0) ≈ 30,6 mm
Schritt 4: ΔL ≈ 0,8 mm
Schritt 5: Tatsächliche Länge L = 30,6 – 2 × 0,8 ≈ 29,0 mm
Die Patchantenne sollte daher die Abmessungen W ≈ 38,9 mm und L ≈ 29,0 mm haben.