Formula per la perdita del percorso spaziale libero
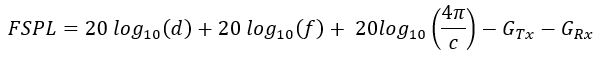
FSPL(dB) = 20 log10(d) + 20 log10(f) + 92,45 – Gtx – Grx
Spiegazione della formula
Questo calcolatore di conversione della perdita del percorso dello spazio libero (FSPL) stima la perdita di potenza del segnale su un percorso in linea di vista libera. La formula utilizza la distanza (d) in chilometri, la frequenza (f) in GHz e sottrae i guadagni dell’antenna trasmittente (Gtx) e ricevente (Grx). La costante 92,45 converte le unità in dB quando si utilizzano km e GHz.
Usi del calcolatore di conversione della perdita del percorso dello spazio libero
- Previsione della perdita di segnale nei collegamenti di comunicazione RF.
- Ottimizzazione del posizionamento dell’antenna per la massima copertura.
- Pianificazione di comunicazioni satellitari o collegamenti a microonde.
- Stima delle prestazioni delle reti wireless in scenari in linea di vista.
- Strumento didattico per comprendere le perdite di propagazione nell’ingegneria RF.

Esempio di formula
Per un collegamento di 10 km a 5 GHz, con Gtx = 10 dB e Grx = 8 dB:
FSPL = 20 log10(10) + 20 log10(5) + 92,45 – 10 – 8
FSPL ≈ 108,45 dB
Ciò significa che il segnale subisce una perdita di spazio libero di circa 108,45 dB su questo collegamento.