Formula per il calcolo della larghezza della microstriscia
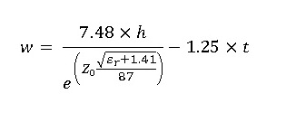
W = (7,48 × h) / exp( Z0 × √(er + 1,41) / 87 ) – 1,25 × t
Spiegazione della formula
Il calcolatore della larghezza della microstriscia aiuta a determinare la larghezza appropriata (W) di una traccia di microstriscia necessaria per ottenere l’impedenza desiderata (Z0). Questa formula tiene conto dell’altezza dielettrica (h), dello spessore della traccia (t) e della costante dielettrica (er) del materiale del substrato. Il calcolo garantisce che la linea a microstriscia mantenga la corretta impedenza caratteristica per un’integrità ottimale del segnale nei circuiti ad alta frequenza.

Usi del calcolatore della larghezza della microstriscia
Il calcolatore della larghezza della microstriscia è ampiamente utilizzato in:
- Progettazione di tracce PCB per circuiti RF e microonde.
- Ottimizzazione dell’adattamento di impedenza nei sistemi di comunicazione.
- Garantire l’integrità del segnale nei progetti digitali e analogici ad alta velocità.
- Applicazioni didattiche e formative per l’ingegneria delle microonde.
- Sviluppo di antenne, filtri e componenti di linee di trasmissione.
Esempio di formula
Supponiamo di avere i seguenti parametri:
Z0 = 50 Ω, t = 1 mil, h = 5 mil ed er = 4,4.
Usando la formula:
W = (7,48 × 5) / exp( 50 × √(4,4 + 1,41) / 87 ) – 1,25 × 1
Dopo aver sostituito i valori e calcolato:
W ≈ 7,42 mil
Ciò significa che è necessaria una larghezza della linea della microstriscia di circa 7,42 mil per ottenere un’impedenza di 50 Ω su un substrato con le proprietà indicate.