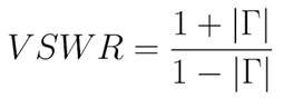
Formule du calculateur VSWR
Le calculateur VSWR détermine les paramètres clés d’une ligne de transmission en fonction du VSWR (Voltage Standing Wave Ratio) d’entrée. Les principales formules utilisées sont :
Coefficient de réflexion (Γ) = (VSWR – 1) / (VSWR + 1)
Perte de retour (RL) = -20 × log10(Γ)
Perte de mésappariement (ML) = -10 × log10(1 – Γ²)
Explication de la formule
La valeur VSWR indique dans quelle mesure une charge est adaptée à une ligne de transmission. Une correspondance parfaite a VSWR = 1, ce qui correspond à une réflexion nulle (Γ = 0), une perte de retour infinie et aucune perte de désadaptation. Le coefficient de réflexion Γ mesure la partie du signal réfléchie en raison d’une inadéquation d’impédance. Return Loss RL quantifie la perte de signal causée par la réflexion en décibels, tandis que Mismatch Loss ML représente la perte de puissance due à la discordance VSWR.

Utilisations du calculateur VSWR
- Vérifiez les performances de la ligne de transmission dans les circuits RF et micro-ondes.
- Évaluez l’adaptation des antennes pour un transfert de signal optimal.
- Mesurez la réflexion et la perte de retour dans la conception du réseau.
- Déterminez les pertes de désadaptation pour les lignes de signaux haute fréquence.
- Prise en charge du dépannage des problèmes VSWR dans les systèmes de communication.
Exemple de formule
Supposons que le VSWR mesuré d’une ligne soit de 2,5 :
Γ = (2,5 – 1) / (2,5 + 1) ≈ 0,429
RL = -20 × log10(0,429) ≈ 7,35 dB
ML = -10 × log10(1 – 0,429²) ≈ 0,87 dB
Cet exemple montre qu’un VSWR de 2,5 entraîne une réflexion modérée et une certaine perte de puissance le long de la ligne.