Fórmula de línea de visión
La calculadora de conversión de línea de visión determina la distancia visible máxima entre una antena y el horizonte en función de la altura de la antena.
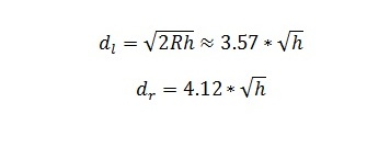
dₗ = 3,57 × √h
dᵣ = 4,12 × √h para el alcance del servicio del horizonte radioeléctrico
Explicación de la fórmula
Aquí, h es la altura de la antena en metros (o convertida de pies). La fórmula utiliza la raíz cuadrada de la altura para calcular la distancia de la línea de visión ( dₗ ) y el horizonte de radio ( dᵣ ), considerando la curvatura de la Tierra. Las constantes 3.57 y 4.12 se derivan de aproximaciones geométricas utilizadas en estudios de propagación de RF.
Usos de la calculadora de conversión de línea de visión
- Planificación de enlaces de comunicación inalámbrica como conexiones de microondas punto a punto.
- Determinación de áreas de cobertura para antenas de transmisión de radio y televisión.
- Evaluación de la ubicación de la antena para redes Wi-Fi o celulares.
- Ayudar en los cálculos de la línea de visión de drones o vehículos aéreos no tripulados para operaciones seguras.
- Fines educativos en cursos de ingeniería de RF y telecomunicaciones.

Ejemplo de fórmula
Para una altura de antena de 20 metros:
Distancia de la línea de visión: dₗ = 3,57 × √20 ≈ 15,97 km
Alcance de servicio del horizonte de radio: dᵣ = 4,12 × √20 ≈ 18,41 km
Esto indica las distancias máximas que la antena puede alcanzar directamente y el horizonte de radio útil.